- ISBN
- 978-973-46-1160-7
- An apariție
- 2008
- Lună apariție
- 10
- Număr pagini
- 544
- Tip ediție
- broșată
- Format
- 160x235
- Colecție
- BIOS
- Domenii
Sub redactia lui Eusebie Zbranca
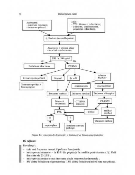
Redactata de o echipa de specialisti bine cunoscuti in lumea medicala, lucrarea, revazuta si adaugita, constituie un ghid practic deosebit de pretios atit pentru cei care invata alfabetul endocrinologiei clinice, cit si pentru medicii practicieni, endocrinologi sau de alte specialitati. In plus, sistematizarea informatiilor si algoritmii de diagnostic si de tratament prezentati vor usura mult diagnosticarea in timp util a endocrinopatiilor si desfasurarea corecta a tratamentului.
- An apariție
- 2008
- Lună apariție
- 10
- Număr pagini
- 544
- Tip ediție
- broșată
- Format
- 160x235
Despre autori

Eusebie Zbranca (1938 - 2010) este profesor universitar, medic primar endocrinolog, sef al Catedrei de Endocrinologie si Sexologie Medicala din cadrul Universitatii de Medicina si Farmacie „Gr.T. Popa” din Iasi si al Clinicii de Endocrinologie a Spitalului Universitar „Sf. Spiridon” din Iasi, fost presedinte al Societatii Romane de Endocrinologie (2000‑2004), membru si membru fondator al unor societati medicale din tara si din strainatate, membru al Academiei de Stiinte Medicale din Romania, redactor asociat al Annales d’Endocrinologie, Paris, Franta. Este autor a peste 600 de lucrari publicate sau comunicate in cadrul manifestarilor nationale sau internationale, dintre care amintim: Explorari paraclinice in endocrinologie, Editura Junimea, Iasi, 1981; Epidemiologia bolilor netransmisibile (red. A. Ivan), Editura Medicala, Bucuresti, 1981; Endocrinologie clinica (in colab.), Litografia UMF, Iasi, 1983, 1985, 1987; Contraceptia, Editura Junimea, Iasi, 1990; Tratat de endocrinologie clinica (red. St.M. Milcu), Editura Academiei Romane, Bucuresti, 1992; Contraceptia (100 intrebari si raspunsuri) (in colab.), revista Medicina Familiei, 1996; Endocrinologie clinica (in colab.), Editura Cutia Pandorei, Vaslui, 1997, 1998; Planificarea familiala – elemente interdisciplinare (red. Florentina Pricop), Editura Venus, Iasi, 1997; Endocrinologie (sub red.), Editura Polirom, 1999, 2007. Cavaler al ordinului Palmes Academiques al Frantei, de doua ori laureat al Uniunii Medicale Balcanice. Monografia Contraceptia a fost considerata bestsellerul Editurii Junimea in 1990 si tiparita intr‑un tiraj impresionant pentru o carte stiintifica.